Article

post_img

玩乐关系

摘要

玩乐关系 本篇存在剧透,自行决定是否阅读 1 为什么会入坑 先抛开「这本轻小说真厉害!」2026综合部门第1位等第1的荣誉称号,单 …

post_img

路人女主养成方法

摘要

路人女主养成方法 普通女孩的普通恋爱物语 TIP 这篇文章涉及部分剧透,谨慎观看。 0 引言 《路人女主养成方法》是由丸户史明(丸 …

post_img

Girls Band Cry

摘要

少女乐队的呐喊 向不公的命运竖起中指吧! 1 关于本作 高中二年级时退学,独自一人以上大学为目标前往东京的主角。被朋友背叛不知道该 …

post_img

饿殍·明末千里行

摘要

明末乱世的狼与猫 狼是由“犬”和“良”组成的。 0 背景 正如标题所述,故事发生于明末崇祯五年(1632年)。连年大灾后,朝廷苛政 …

post_img

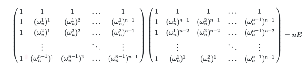
快速傅里叶变换

摘要

快速傅里叶变换——加速多项式乘法的神奇魔法 0 为什么要用快速傅里叶变换(FFT) 定义以下两个多项式: $$ f(x) = a_ …

post_img

崩坏三

摘要

崩坏3 —— 一款放到现在也是相当不错的动作游戏 为美好的世界而战 0 崩坏3的历史 截止到这篇文章发表,还有几天就是崩坏3(下称 …

post_img

It’s MyGO!!!!!

摘要

MyGO —— 迷途之人不再迷路 不畏迷茫,纵使迷茫亦要前行。 1 初识 与上一篇文章中的 《Ave Mujica》 不同的是,笔 …

post_img

Ave Mujica

摘要

Ave Mujica——究竟是人性的扭曲还是木柜子的沦丧 …ようこそ。Ave Mujicaの世界(マスカレード)へ 0 前奏 相信 …

post_img

魔法少女的魔女审判

摘要

魔法少女的魔女审判——一款超级喜欢的美少女游戏 0 序 说到推理游戏,更多的人想到的会是《弹丸论破》。但是今年夏天,一款全新的文字 …